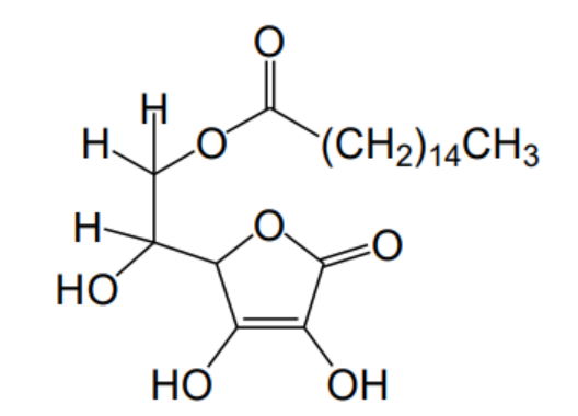
¿¹»µÑªËáרéµËáõ¥£¬ÓÖÃûL-¿¹»µÑªËáרéµËáõ¥£¨L-ascorbyl palmitate£¬¼ò³ÆL-AP£©£¬ÆäÊôÓÚάÉúËØCµÄÖ¬·¾Ëáõ¥ÑÜÉúÎÏà±È¿¹»µÑªËá¾ßÓиüÎȹ̣¨Äͳ±¡¢ÄÍÈÈ¡¢Ä͹⣩µÄÐÔ×Ó¡£

¿¹»µÑªËáרéµËáõ¥ÒÀ¾Ý¡¶GB 2760-2014ʳÎïÌí¼Ó¼ÁʹÓñê×¼¡·µÄ»®¶¨£¬¿ÉÒÔ×÷ΪһÖÖʳÎïÌí¼Ó¼Á——¿¹Ñõ»¯¼Á¡£L-APÊÇʳÎï¡¢»¯×±Æ·µÈÁìÓòÓÅÁ¼µÄ¿¹Ñõ»¯¼Á£¬ÉÙÁ¿µÄL-APÌí¼Ó¼´¿ÉµÖ´ï¿¹Ñõ»¯µÄ×÷Óá£Í¬Ê±£¬¸ÃÎïÖÊÒ²ÊÇÓªÑøÇ¿»¯¼ÁάÉúËØCµÄ»¯ºÏÎïȪԴÒòËØÖ®Ò»£¬ÔÚ¡¶GB 14880-2012ʳÎïÓªÑøÇ¿»¯¼ÁʹÓñê×¼¡·ÖУ¬Ã¸·¨ÖƵõĿ¹»µÑªËáרéµËáõ¥ÊÇάÉúËØCµÄ»¯ºÏÎïȪԴ֮һ£¬Æä¿ÉÒÔÓÃÓÚͨË×ʳÎïÒÔ¼°ÌØÊâÉÅʳÓÃʳÎï¡£±ðµÄ£¬¿¹»µÑªËáרéµËáõ¥±»ÁÐÈëÁË¡¶±£½¡Ê³ÎïÖÊÁÏĿ¼ ÓªÑøËØÔö²¹¼Á¡·×÷ΪάÉúËØCµÄ»¯ºÏÎïȪԴ£¬¸Ã±£½¡Ê³Îﱸ°¸ÖÊÁÏÊÊÓÃÈËȺÓÐÏÞÖÆ£¬½öÊʺÏ4ËêÒÔÉϵÄÈËȺʳÓã¬ÆäÖÐÔи¾ºÍÈéĸÁ½ÀàÈËȺ¶ÔÓ¦ÓÐרÊôµÄÏÞÁ¿ÒªÇó¡£
·þÎñÄÜÁ¦
9888À˹ά¼Ó˹¼ì²âÌØÊ³ÊµÑéÊÒÕë¶Ô¿¹»µÑªËáרéµËáõ¥£¬Ñз¢ÁËÄÚ²¿¼ì²âÒªÁ죬¸üÊÊÓÃÓÚ±£½¡Ê³Îï»ùÖʵIJúÆ·¶¨Á¿¼ì²â¡£CTI9888À˹ά¼Ó˹¼ì²â¿ÉΪ¸÷ÆóÒµÌṩ¸üרҵµÄʵÑéÊÖÒÕ·þÎñ£¬Îª²úÆ·µÄºÏ¹æÐÔ±£¼Ý»¤º½£¬½Ó´ý×ÉѯËͼ죡














































ÔÁ¹«Íø°²±¸ 44030602000441ºÅ 